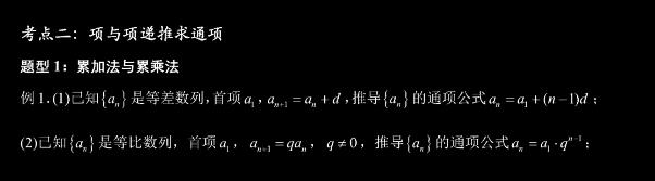
收藏 高中数学 胡源 高二数学下学期加油包网课文件目录:01项与项递推求通项~1.mp402无辅助数列递推求通项~1.mp403概率综合创新一-~1.mp404概率综合创新二_~1.mp405公切线问题~1.mp406变形拓展~ 1.mp407双零点的转移区间构造~1.mp408数学归纳法~ 1.mp4 高中数学数学高二 本站所有内容均可免费下载 一、特别说明:注册会员后每天有3次免费下载各类模板、素材、课程次数,请慎用! 上一篇:【高考数学】三轮复习数学高考密训班,全方位提升数学素养,助你成功冲刺高考 下一篇:【张宇数学】2022春季高二数学春季系统班,15讲完结带讲义,打造数学高手