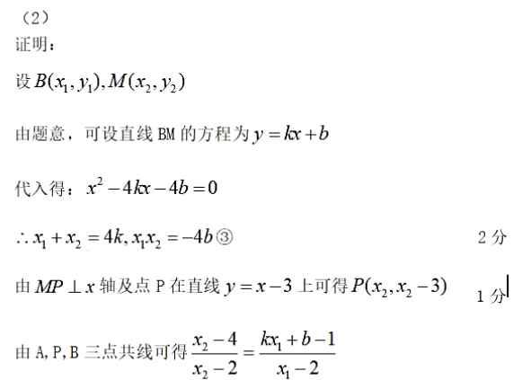
收藏 课程目录(资源合计6.32GB): 高三数学数学学长 本站所有内容均可免费下载 一、特别说明:注册会员后每天有3次免费下载各类模板、素材、课程次数,请慎用! 二、如急需下载多个素材,请赞助VIP获取更多下载次数!点击了解详细说明 三、赞助方式:注册会员—>赞助获取更多下载次数 上一篇:凉学长数学2022届高三数学考前押题班(全国+新高考) 下一篇:凉学长数学2022届高三数学3-5月模拟题精讲班